Chapter Four Notes
Answer to Solved O MAT210E Sanaviy 0050 2/10 y = x(ACosx BSOX)Y=e^x(A\ cos xBsinx) is the solution of the differential equation (d^2y)/(dx^2)2(dy)/(dx)2y=0
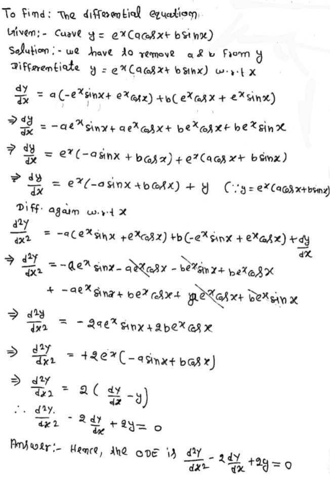
5. y=e^ x (acosx+bsinx)
5. y=e^ x (acosx+bsinx)-Submission accepted by Sambit Kumar Das Related Answer Jeff Suzuki Mathematician and historian of mathematics 10mo Take 'y = x^3 2x^2 4' to be the equation of a curve If this equation is then differentiated with respect to 'x' it would become the derivative, 'dy/dx = 3x^2 4x' What characteristic of 事实上这题还可以更简单,令v=y',则v'v=3x化成了1阶非齐次方程,求出v的通解再求v的不定积分既可 求微分方程y''3y'=3x的通解 : 微分方程y'3y=x的通解 微分方程y'3y=x对应的齐次方程y'3y=0的特征方程r3=0 r=3 所以y'3y=0的通解y=ce^(3x) 设原方程的特解
Chapter 4 Lecture Notes 4 Chapter 4 Linear De Of Higher Order Homogeneous Equation An Nth Order Studocu
Řešte matematické úlohy pomocí naší bezplatné aplikace s podrobnými řešeními Math Solver podporuje základní matematiku, aritmetiku, algebru, trigonometrii, kalkulus a další oblasti Tính diện tích hình phẳng giới hạn bởi đồ thị hàm số y = 2 x 2 − 4 x − 6, trục hoành và hai đường thẳng x = 2, x = 4 A S = 8 B S = 2 3Using the method of undetermined coefficients, find the general solution of the DE y_iv_ 2ym2yn=3ex2_e_xexsin x Answer in Differential Equations for Ayush #0436 My orders
A c o s ( x) = y − B s i n ( x) The equation is in standard form The equation is in standard form \cos (x)A=B\sin (x)y c o s ( x) A = − B s i n ( x) y Divide both sides by \cos (x) Divide both sides by c o s ( x) \frac {\cos (x)A} {\cos (x)}=\frac {B\sin (x)y} {\cos (x)} We use it all the time I just don't know the trig identities and I don't know how to show that AcosxBsinx=Ccos(xa) is true This cannot be true for abitrary A, B, and C Prove by example A=1, B=1, C= 0 There has to be a relationship between A,B and C #7 Misc Find the derivative of the following functions (it is to be understood that a, b, c, d, p, q, r and s are fixed nonzero constants and m and n are integers
5. y=e^ x (acosx+bsinx)のギャラリー
各画像をクリックすると、ダウンロードまたは拡大表示できます
Solved Which Of The Following Is The General Solution Of Z 5 2 Dy 3y Cosx Dx2 Dx Hint Express The Right Side In The Form Acosx Bsinx Y Cie X | ![]() Solved Which Of The Following Is The General Solution Of Z 5 2 Dy 3y Cosx Dx2 Dx Hint Express The Right Side In The Form Acosx Bsinx Y Cie X | Solved Which Of The Following Is The General Solution Of Z 5 2 Dy 3y Cosx Dx2 Dx Hint Express The Right Side In The Form Acosx Bsinx Y Cie X |
Solved Which Of The Following Is The General Solution Of Z 5 2 Dy 3y Cosx Dx2 Dx Hint Express The Right Side In The Form Acosx Bsinx Y Cie X | Solved Which Of The Following Is The General Solution Of Z 5 2 Dy 3y Cosx Dx2 Dx Hint Express The Right Side In The Form Acosx Bsinx Y Cie X | ![]() Solved Which Of The Following Is The General Solution Of Z 5 2 Dy 3y Cosx Dx2 Dx Hint Express The Right Side In The Form Acosx Bsinx Y Cie X |
![]() Solved Which Of The Following Is The General Solution Of Z 5 2 Dy 3y Cosx Dx2 Dx Hint Express The Right Side In The Form Acosx Bsinx Y Cie X | ![]() Solved Which Of The Following Is The General Solution Of Z 5 2 Dy 3y Cosx Dx2 Dx Hint Express The Right Side In The Form Acosx Bsinx Y Cie X | Solved Which Of The Following Is The General Solution Of Z 5 2 Dy 3y Cosx Dx2 Dx Hint Express The Right Side In The Form Acosx Bsinx Y Cie X |
「5. y=e^ x (acosx+bsinx)」の画像ギャラリー、詳細は各画像をクリックしてください。
![]() Solved Which Of The Following Is The General Solution Of Z 5 2 Dy 3y Cosx Dx2 Dx Hint Express The Right Side In The Form Acosx Bsinx Y Cie X | ![]() Solved Which Of The Following Is The General Solution Of Z 5 2 Dy 3y Cosx Dx2 Dx Hint Express The Right Side In The Form Acosx Bsinx Y Cie X | Solved Which Of The Following Is The General Solution Of Z 5 2 Dy 3y Cosx Dx2 Dx Hint Express The Right Side In The Form Acosx Bsinx Y Cie X |
![]() Solved Which Of The Following Is The General Solution Of Z 5 2 Dy 3y Cosx Dx2 Dx Hint Express The Right Side In The Form Acosx Bsinx Y Cie X | Solved Which Of The Following Is The General Solution Of Z 5 2 Dy 3y Cosx Dx2 Dx Hint Express The Right Side In The Form Acosx Bsinx Y Cie X | ![]() Solved Which Of The Following Is The General Solution Of Z 5 2 Dy 3y Cosx Dx2 Dx Hint Express The Right Side In The Form Acosx Bsinx Y Cie X |
Solved Which Of The Following Is The General Solution Of Z 5 2 Dy 3y Cosx Dx2 Dx Hint Express The Right Side In The Form Acosx Bsinx Y Cie X | Solved Which Of The Following Is The General Solution Of Z 5 2 Dy 3y Cosx Dx2 Dx Hint Express The Right Side In The Form Acosx Bsinx Y Cie X | Solved Which Of The Following Is The General Solution Of Z 5 2 Dy 3y Cosx Dx2 Dx Hint Express The Right Side In The Form Acosx Bsinx Y Cie X |
「5. y=e^ x (acosx+bsinx)」の画像ギャラリー、詳細は各画像をクリックしてください。
![]() Solved Which Of The Following Is The General Solution Of Z 5 2 Dy 3y Cosx Dx2 Dx Hint Express The Right Side In The Form Acosx Bsinx Y Cie X | ![]() Solved Which Of The Following Is The General Solution Of Z 5 2 Dy 3y Cosx Dx2 Dx Hint Express The Right Side In The Form Acosx Bsinx Y Cie X | ![]() Solved Which Of The Following Is The General Solution Of Z 5 2 Dy 3y Cosx Dx2 Dx Hint Express The Right Side In The Form Acosx Bsinx Y Cie X |
![]() Solved Which Of The Following Is The General Solution Of Z 5 2 Dy 3y Cosx Dx2 Dx Hint Express The Right Side In The Form Acosx Bsinx Y Cie X | Solved Which Of The Following Is The General Solution Of Z 5 2 Dy 3y Cosx Dx2 Dx Hint Express The Right Side In The Form Acosx Bsinx Y Cie X | ![]() Solved Which Of The Following Is The General Solution Of Z 5 2 Dy 3y Cosx Dx2 Dx Hint Express The Right Side In The Form Acosx Bsinx Y Cie X |
Solved Which Of The Following Is The General Solution Of Z 5 2 Dy 3y Cosx Dx2 Dx Hint Express The Right Side In The Form Acosx Bsinx Y Cie X | Solved Which Of The Following Is The General Solution Of Z 5 2 Dy 3y Cosx Dx2 Dx Hint Express The Right Side In The Form Acosx Bsinx Y Cie X | ![]() Solved Which Of The Following Is The General Solution Of Z 5 2 Dy 3y Cosx Dx2 Dx Hint Express The Right Side In The Form Acosx Bsinx Y Cie X |
「5. y=e^ x (acosx+bsinx)」の画像ギャラリー、詳細は各画像をクリックしてください。
![]() Solved Which Of The Following Is The General Solution Of Z 5 2 Dy 3y Cosx Dx2 Dx Hint Express The Right Side In The Form Acosx Bsinx Y Cie X | Solved Which Of The Following Is The General Solution Of Z 5 2 Dy 3y Cosx Dx2 Dx Hint Express The Right Side In The Form Acosx Bsinx Y Cie X | ![]() Solved Which Of The Following Is The General Solution Of Z 5 2 Dy 3y Cosx Dx2 Dx Hint Express The Right Side In The Form Acosx Bsinx Y Cie X |
![]() Solved Which Of The Following Is The General Solution Of Z 5 2 Dy 3y Cosx Dx2 Dx Hint Express The Right Side In The Form Acosx Bsinx Y Cie X | Solved Which Of The Following Is The General Solution Of Z 5 2 Dy 3y Cosx Dx2 Dx Hint Express The Right Side In The Form Acosx Bsinx Y Cie X | Solved Which Of The Following Is The General Solution Of Z 5 2 Dy 3y Cosx Dx2 Dx Hint Express The Right Side In The Form Acosx Bsinx Y Cie X |
![]() Solved Which Of The Following Is The General Solution Of Z 5 2 Dy 3y Cosx Dx2 Dx Hint Express The Right Side In The Form Acosx Bsinx Y Cie X | Solved Which Of The Following Is The General Solution Of Z 5 2 Dy 3y Cosx Dx2 Dx Hint Express The Right Side In The Form Acosx Bsinx Y Cie X | ![]() Solved Which Of The Following Is The General Solution Of Z 5 2 Dy 3y Cosx Dx2 Dx Hint Express The Right Side In The Form Acosx Bsinx Y Cie X |
「5. y=e^ x (acosx+bsinx)」の画像ギャラリー、詳細は各画像をクリックしてください。
Solved Which Of The Following Is The General Solution Of Z 5 2 Dy 3y Cosx Dx2 Dx Hint Express The Right Side In The Form Acosx Bsinx Y Cie X | Solved Which Of The Following Is The General Solution Of Z 5 2 Dy 3y Cosx Dx2 Dx Hint Express The Right Side In The Form Acosx Bsinx Y Cie X | Solved Which Of The Following Is The General Solution Of Z 5 2 Dy 3y Cosx Dx2 Dx Hint Express The Right Side In The Form Acosx Bsinx Y Cie X |
![]() Solved Which Of The Following Is The General Solution Of Z 5 2 Dy 3y Cosx Dx2 Dx Hint Express The Right Side In The Form Acosx Bsinx Y Cie X | ![]() Solved Which Of The Following Is The General Solution Of Z 5 2 Dy 3y Cosx Dx2 Dx Hint Express The Right Side In The Form Acosx Bsinx Y Cie X | ![]() Solved Which Of The Following Is The General Solution Of Z 5 2 Dy 3y Cosx Dx2 Dx Hint Express The Right Side In The Form Acosx Bsinx Y Cie X |
![]() Solved Which Of The Following Is The General Solution Of Z 5 2 Dy 3y Cosx Dx2 Dx Hint Express The Right Side In The Form Acosx Bsinx Y Cie X | Solved Which Of The Following Is The General Solution Of Z 5 2 Dy 3y Cosx Dx2 Dx Hint Express The Right Side In The Form Acosx Bsinx Y Cie X | ![]() Solved Which Of The Following Is The General Solution Of Z 5 2 Dy 3y Cosx Dx2 Dx Hint Express The Right Side In The Form Acosx Bsinx Y Cie X |
「5. y=e^ x (acosx+bsinx)」の画像ギャラリー、詳細は各画像をクリックしてください。
Solved Which Of The Following Is The General Solution Of Z 5 2 Dy 3y Cosx Dx2 Dx Hint Express The Right Side In The Form Acosx Bsinx Y Cie X | Solved Which Of The Following Is The General Solution Of Z 5 2 Dy 3y Cosx Dx2 Dx Hint Express The Right Side In The Form Acosx Bsinx Y Cie X | Solved Which Of The Following Is The General Solution Of Z 5 2 Dy 3y Cosx Dx2 Dx Hint Express The Right Side In The Form Acosx Bsinx Y Cie X |
Solved Which Of The Following Is The General Solution Of Z 5 2 Dy 3y Cosx Dx2 Dx Hint Express The Right Side In The Form Acosx Bsinx Y Cie X | Solved Which Of The Following Is The General Solution Of Z 5 2 Dy 3y Cosx Dx2 Dx Hint Express The Right Side In The Form Acosx Bsinx Y Cie X | Solved Which Of The Following Is The General Solution Of Z 5 2 Dy 3y Cosx Dx2 Dx Hint Express The Right Side In The Form Acosx Bsinx Y Cie X |
![]() Solved Which Of The Following Is The General Solution Of Z 5 2 Dy 3y Cosx Dx2 Dx Hint Express The Right Side In The Form Acosx Bsinx Y Cie X | Solved Which Of The Following Is The General Solution Of Z 5 2 Dy 3y Cosx Dx2 Dx Hint Express The Right Side In The Form Acosx Bsinx Y Cie X | ![]() Solved Which Of The Following Is The General Solution Of Z 5 2 Dy 3y Cosx Dx2 Dx Hint Express The Right Side In The Form Acosx Bsinx Y Cie X |
「5. y=e^ x (acosx+bsinx)」の画像ギャラリー、詳細は各画像をクリックしてください。
![]() Solved Which Of The Following Is The General Solution Of Z 5 2 Dy 3y Cosx Dx2 Dx Hint Express The Right Side In The Form Acosx Bsinx Y Cie X | ![]() Solved Which Of The Following Is The General Solution Of Z 5 2 Dy 3y Cosx Dx2 Dx Hint Express The Right Side In The Form Acosx Bsinx Y Cie X | ![]() Solved Which Of The Following Is The General Solution Of Z 5 2 Dy 3y Cosx Dx2 Dx Hint Express The Right Side In The Form Acosx Bsinx Y Cie X |
![]() Solved Which Of The Following Is The General Solution Of Z 5 2 Dy 3y Cosx Dx2 Dx Hint Express The Right Side In The Form Acosx Bsinx Y Cie X | Solved Which Of The Following Is The General Solution Of Z 5 2 Dy 3y Cosx Dx2 Dx Hint Express The Right Side In The Form Acosx Bsinx Y Cie X | ![]() Solved Which Of The Following Is The General Solution Of Z 5 2 Dy 3y Cosx Dx2 Dx Hint Express The Right Side In The Form Acosx Bsinx Y Cie X |
Solved Which Of The Following Is The General Solution Of Z 5 2 Dy 3y Cosx Dx2 Dx Hint Express The Right Side In The Form Acosx Bsinx Y Cie X | ![]() Solved Which Of The Following Is The General Solution Of Z 5 2 Dy 3y Cosx Dx2 Dx Hint Express The Right Side In The Form Acosx Bsinx Y Cie X | Solved Which Of The Following Is The General Solution Of Z 5 2 Dy 3y Cosx Dx2 Dx Hint Express The Right Side In The Form Acosx Bsinx Y Cie X |
「5. y=e^ x (acosx+bsinx)」の画像ギャラリー、詳細は各画像をクリックしてください。
![]() Solved Which Of The Following Is The General Solution Of Z 5 2 Dy 3y Cosx Dx2 Dx Hint Express The Right Side In The Form Acosx Bsinx Y Cie X | Solved Which Of The Following Is The General Solution Of Z 5 2 Dy 3y Cosx Dx2 Dx Hint Express The Right Side In The Form Acosx Bsinx Y Cie X | ![]() Solved Which Of The Following Is The General Solution Of Z 5 2 Dy 3y Cosx Dx2 Dx Hint Express The Right Side In The Form Acosx Bsinx Y Cie X |
![]() Solved Which Of The Following Is The General Solution Of Z 5 2 Dy 3y Cosx Dx2 Dx Hint Express The Right Side In The Form Acosx Bsinx Y Cie X | ![]() Solved Which Of The Following Is The General Solution Of Z 5 2 Dy 3y Cosx Dx2 Dx Hint Express The Right Side In The Form Acosx Bsinx Y Cie X | ![]() Solved Which Of The Following Is The General Solution Of Z 5 2 Dy 3y Cosx Dx2 Dx Hint Express The Right Side In The Form Acosx Bsinx Y Cie X |
![]() Solved Which Of The Following Is The General Solution Of Z 5 2 Dy 3y Cosx Dx2 Dx Hint Express The Right Side In The Form Acosx Bsinx Y Cie X | ![]() Solved Which Of The Following Is The General Solution Of Z 5 2 Dy 3y Cosx Dx2 Dx Hint Express The Right Side In The Form Acosx Bsinx Y Cie X | Solved Which Of The Following Is The General Solution Of Z 5 2 Dy 3y Cosx Dx2 Dx Hint Express The Right Side In The Form Acosx Bsinx Y Cie X |
「5. y=e^ x (acosx+bsinx)」の画像ギャラリー、詳細は各画像をクリックしてください。
Solved Which Of The Following Is The General Solution Of Z 5 2 Dy 3y Cosx Dx2 Dx Hint Express The Right Side In The Form Acosx Bsinx Y Cie X | ![]() Solved Which Of The Following Is The General Solution Of Z 5 2 Dy 3y Cosx Dx2 Dx Hint Express The Right Side In The Form Acosx Bsinx Y Cie X | Solved Which Of The Following Is The General Solution Of Z 5 2 Dy 3y Cosx Dx2 Dx Hint Express The Right Side In The Form Acosx Bsinx Y Cie X |
![]() Solved Which Of The Following Is The General Solution Of Z 5 2 Dy 3y Cosx Dx2 Dx Hint Express The Right Side In The Form Acosx Bsinx Y Cie X | Solved Which Of The Following Is The General Solution Of Z 5 2 Dy 3y Cosx Dx2 Dx Hint Express The Right Side In The Form Acosx Bsinx Y Cie X | ![]() Solved Which Of The Following Is The General Solution Of Z 5 2 Dy 3y Cosx Dx2 Dx Hint Express The Right Side In The Form Acosx Bsinx Y Cie X |
![]() Solved Which Of The Following Is The General Solution Of Z 5 2 Dy 3y Cosx Dx2 Dx Hint Express The Right Side In The Form Acosx Bsinx Y Cie X | ![]() Solved Which Of The Following Is The General Solution Of Z 5 2 Dy 3y Cosx Dx2 Dx Hint Express The Right Side In The Form Acosx Bsinx Y Cie X | ![]() Solved Which Of The Following Is The General Solution Of Z 5 2 Dy 3y Cosx Dx2 Dx Hint Express The Right Side In The Form Acosx Bsinx Y Cie X |
「5. y=e^ x (acosx+bsinx)」の画像ギャラリー、詳細は各画像をクリックしてください。
![]() Solved Which Of The Following Is The General Solution Of Z 5 2 Dy 3y Cosx Dx2 Dx Hint Express The Right Side In The Form Acosx Bsinx Y Cie X | ![]() Solved Which Of The Following Is The General Solution Of Z 5 2 Dy 3y Cosx Dx2 Dx Hint Express The Right Side In The Form Acosx Bsinx Y Cie X | ![]() Solved Which Of The Following Is The General Solution Of Z 5 2 Dy 3y Cosx Dx2 Dx Hint Express The Right Side In The Form Acosx Bsinx Y Cie X |
Solved Which Of The Following Is The General Solution Of Z 5 2 Dy 3y Cosx Dx2 Dx Hint Express The Right Side In The Form Acosx Bsinx Y Cie X | Solved Which Of The Following Is The General Solution Of Z 5 2 Dy 3y Cosx Dx2 Dx Hint Express The Right Side In The Form Acosx Bsinx Y Cie X | ![]() Solved Which Of The Following Is The General Solution Of Z 5 2 Dy 3y Cosx Dx2 Dx Hint Express The Right Side In The Form Acosx Bsinx Y Cie X |
Solved Which Of The Following Is The General Solution Of Z 5 2 Dy 3y Cosx Dx2 Dx Hint Express The Right Side In The Form Acosx Bsinx Y Cie X | ![]() Solved Which Of The Following Is The General Solution Of Z 5 2 Dy 3y Cosx Dx2 Dx Hint Express The Right Side In The Form Acosx Bsinx Y Cie X | Solved Which Of The Following Is The General Solution Of Z 5 2 Dy 3y Cosx Dx2 Dx Hint Express The Right Side In The Form Acosx Bsinx Y Cie X |
「5. y=e^ x (acosx+bsinx)」の画像ギャラリー、詳細は各画像をクリックしてください。
![]() Solved Which Of The Following Is The General Solution Of Z 5 2 Dy 3y Cosx Dx2 Dx Hint Express The Right Side In The Form Acosx Bsinx Y Cie X | Solved Which Of The Following Is The General Solution Of Z 5 2 Dy 3y Cosx Dx2 Dx Hint Express The Right Side In The Form Acosx Bsinx Y Cie X | ![]() Solved Which Of The Following Is The General Solution Of Z 5 2 Dy 3y Cosx Dx2 Dx Hint Express The Right Side In The Form Acosx Bsinx Y Cie X |
Solved Which Of The Following Is The General Solution Of Z 5 2 Dy 3y Cosx Dx2 Dx Hint Express The Right Side In The Form Acosx Bsinx Y Cie X | ![]() Solved Which Of The Following Is The General Solution Of Z 5 2 Dy 3y Cosx Dx2 Dx Hint Express The Right Side In The Form Acosx Bsinx Y Cie X | ![]() Solved Which Of The Following Is The General Solution Of Z 5 2 Dy 3y Cosx Dx2 Dx Hint Express The Right Side In The Form Acosx Bsinx Y Cie X |
![]() Solved Which Of The Following Is The General Solution Of Z 5 2 Dy 3y Cosx Dx2 Dx Hint Express The Right Side In The Form Acosx Bsinx Y Cie X | ![]() Solved Which Of The Following Is The General Solution Of Z 5 2 Dy 3y Cosx Dx2 Dx Hint Express The Right Side In The Form Acosx Bsinx Y Cie X | Solved Which Of The Following Is The General Solution Of Z 5 2 Dy 3y Cosx Dx2 Dx Hint Express The Right Side In The Form Acosx Bsinx Y Cie X |
「5. y=e^ x (acosx+bsinx)」の画像ギャラリー、詳細は各画像をクリックしてください。
![]() Solved Which Of The Following Is The General Solution Of Z 5 2 Dy 3y Cosx Dx2 Dx Hint Express The Right Side In The Form Acosx Bsinx Y Cie X | Solved Which Of The Following Is The General Solution Of Z 5 2 Dy 3y Cosx Dx2 Dx Hint Express The Right Side In The Form Acosx Bsinx Y Cie X | ![]() Solved Which Of The Following Is The General Solution Of Z 5 2 Dy 3y Cosx Dx2 Dx Hint Express The Right Side In The Form Acosx Bsinx Y Cie X |
Solved Which Of The Following Is The General Solution Of Z 5 2 Dy 3y Cosx Dx2 Dx Hint Express The Right Side In The Form Acosx Bsinx Y Cie X | Solved Which Of The Following Is The General Solution Of Z 5 2 Dy 3y Cosx Dx2 Dx Hint Express The Right Side In The Form Acosx Bsinx Y Cie X |
# y = e^x(acosx bsinx) # Where the constants #a# and #b# are to be determined by direct substitution and comparison Differentiating wrt #x# (using the product rule) we get # y' = e^x(asinx bcosx) e^x(acosx bsinx) # # \ \ \ = e^x(acosx asinx bcosx bsinx) # Differentiating again wrt #x# (using the product rule) we getWriting y=acosxbsinx as y=Rcos(xa) New Resources Quiz Writing Equivalent Rates and Equations for Proportional Relationships
Incoming Term: y=e^x(acosx+bsinx), if y=e^-x(acosx+bsinx), 5. y=e^ x (acosx+bsinx), differential equation of y=e^x(acosx+bsinx), the differential equation of family of curves y=e^x(acosx+bsinx),




























































0 件のコメント:
コメントを投稿